卫星的服务时间计算
在写论文的时候遇到了这个问题,顺藤摸瓜找到了一本非常好的卫星通信教材,记录一下公式推导的过程
主要根据下面这个图来分析:

仰角E:观察点-卫星的连线,与地平线的夹角,取值范围为[-90°, 90°],-90°时卫星已经位于观察点对应的地球表面异侧点正上方,实际已经不可见;一般都会规定最小仰角
地心角 $\alpha$: 取值范围为[0°, 180°], 0°表示卫星在观察点正上方,180°表示卫星在观察点对应的地球表面异侧点正上方
地球平均半径 $R_e$
轨道高度 $h$
由此可以推导出仰角与地心角的关系 (从O点作观察点-卫星连线的垂线):

如果已知的是卫星的经纬度,也可以表示出地心角:
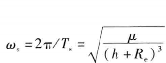
那么卫星的服务时间就能通过角速度和地心角推导出来:
卫星的在轨运动角速度为:

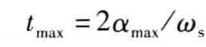
卫星扫过的地心角范围最大为 $2\alpha_{max}$ ,所以可以提供的最大连续服务时间为:

卫星的服务时间计算
http://example.com/2025/06/22/卫星的剩余服务时间计算/